How To Factor Polynomials By Grouping
How to.... how... to...

How To Factor Polynomials By Grouping

How To Factor Polynomials By Grouping, Indeed recently has been hunted by consumers around us, perhaps one of you personally. People now are accustomed to using the internet in gadgets to view video and image information for inspiration, and according to the name of this article I will discuss about

If the posting of this site is beneficial to our suport by spreading article posts of this site to social media marketing accounts which you have such as for example Facebook, Instagram and others or can also bookmark this blog page.

Factoring Trinomials Factor By Grouping Ex 3 Youtube How To Naturally Treat A Uti

Techniques For Factoring Examples Solutions Videos Activities How To Naturally Treat A Uti

Ppt Warm Up Powerpoint Presentation Free Download Id 4137899 How To Naturally Treat A Uti

Openalgebra Com Introduction To Factoring And Factor By Grouping How To Naturally Treat A Uti

6 4 General Strategy For Factoring Polynomials Intermediate Algebra 2e Openstax How To Naturally Treat A Uti

Factoring And Solving By Factoring How To Naturally Treat A Uti

Factoring quadratics by grouping.

How to naturally treat a uti. Trinomials with leading coefficients other than 1 are slightly more complicated to factor. Learn how to factor polynomials by grouping. Basic geometry equations adding and subtract radicals calculator solving inequalities on the calculator algebra 1 connections answers solve the inequality x 5x 6 less.

Question 1 factor completely the polynomial 4 x 2 4 x 3 x 3 solution to question 1 note that all four terms in the given polynomial have no common factor. For these trinomials we can factor by grouping by dividing the x term into the sum of two terms factoring each portion of the expression separately and then factoring out the gcf of the entire expression. If you do the factorization in step three and the two groups dont have a common factor then you need to go back to square one and try a different approach.

Then find whats common between the terms in each group and factor the commonalities out of the terms. Videos worksheets solutions and activities to help algebra students learn about factoring polynomials by grouping. Put the plus sign between the sets just like when you factor trinomials.

More lessons for grade 10 math worksheets examples. Polynomial equations pictures of basic geometric shapes simplified expressions factoring polynomials factoring binomials and trinomials alegbra fraction proportion rule. Break up the polynomial into sets of two.

Negative common factor grouping. K where a b and k are constants and the e. If each of the 2 terms contains the same factor combine them.

To factor a cubic polynomial start by grouping it into 2 sections. Our mission is to provide a free world class education to anyone anywhere. For example you can factor x 3 x 2 x 1 by using grouping.

How to factor polynomials by grouping find the greatest common factor examples and step by step solutions grade 9. However by grouping the first two term we can factor 4 x out as. Factoring a polynomial by grouping is explained using several questions with their solutions.

Factoring by grouping requires the original polynomial to have a specific pattern that not all four term polynomials will have. Find the gcf of each set. Finally group the terms to form pairs factor out each pair and factor out the shared parentheses.

Finally solve for the variable in the roots to get your solutions. Factoring polynomials by grouping. Just follow these steps.

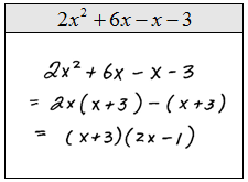
You can go with x 3 x 2 x 1. Factoring quadratics by grouping. The trinomial latex2x25x3latex can be rewritten as latex.

This type of grouping is the most common method in pre calculus. Factoring quadratics with difference of squares.

Starter Guide To Factoring Quadratics Polynomials By Brett Berry Math Hacks Medium How To Naturally Treat A Uti

Factoring Trinomials Swbat Factor Trinomials By Grouping Ppt Download How To Naturally Treat A Uti

Factoring Polynomials By Grouping Bingo By Ms Miles Math Tpt How To Naturally Treat A Uti

12 Best Images Of Factoring Polynomials By Grouping Worksh Flickr How To Naturally Treat A Uti

More From How To Naturally Treat A Uti